Ранее была рассмотрена декомпозиция процесса на операции. На практике часто возникает потребность продолжить декомпозицию операций дальше. При этом операции начинают рассматриваться как самостоятельные процессы или, второй допустимый термин, как подпроцессы, если необходимо подчеркнуть, что процесс является частью родительского процесса. Business Studio позволяет выполнить моделирование подпроцесса двумя способами.
Этот способ аналогичен обычному созданию диаграммы процесса. Пусть на диаграмме процесса изображена фигура операции. Предположим, аналитик решил описать более подробно, каким образом выполняются экземпляры этой операции. Для этого он формирует диаграмму процесса.
Пример:
На Рис.1 представлена диаграмма процесса, на которой изображена фигура операции "Организация итогового собрания по проекту". Аналитик решает, что необходимо декомпозировать модель операции "Организация итогового собрания по проекту" и создает диаграмму процесса (Рис.2). При этом внешний вид фигуры "Организация итогового собрания по проекту" на диаграмме процесса "Формирование замечаний по проекту" (Рис.3) изменяется, поскольку теперь это не фигура операции, а фигура процесса.



Рассмотрим правила моделирования передачи управления из процесса в подпроцесс в разных нотациях.
Исходные данные: Диаграмма процесса описана в нотации Basic Flowchart/Cross-functional Flowchart. Одна из фигур диаграммы ссылается на модель декомпозированного подпроцесса, диаграмма которого также описана в нотации Basic Flowchart/Cross-functional Flowchart.
Во время имитации движок имитации, дойдя до этой фигуры, продолжает построение экземпляра имитирующего процесса по диаграмме подпроцесса. При этом создание экземпляра имитирующего подпроцесса осуществляется только в случае совпадения наименований стрелок "Связь предшествования" на диаграмме процесса и диаграмме подпроцесса. Совпадение наименований стрелок является индикатором того, что эти стрелки ссылаются на один и тот же объект. Поэтому надо придерживаться следующего правила моделирования: необходимо обеспечить идентичность стрелок "Связь предшествования" на диаграмме процесса и диаграмме подпроцесса. В противном случае, во время имитации переход на диаграмму подпроцесса осуществлен не будет.
Выход с диаграммы подпроцесса осуществляется движком имитации каждый раз после возникновения экземпляра имитирующего конечного события или после выполнения экземпляра последней имитирующей операции, если на диаграмме подпроцесса нет фигур конечных событий. При этом возврат к диаграмме процесса осуществляется только в случае совпадения наименований стрелок "Связь предшествования" на диаграмме процесса и диаграмме подпроцесса. В противном случае, возврат к диаграмме процесса осуществлен не будет.
На Рис.4 и Рис.5 представлен правильный способ моделирования: на диаграмме процесса изображена фигура "Шаг 1", ссылающаяся на модель декомпозированного подпроцесса. Стрелки "Связи предшествования", входящие в фигуру "Шаг 1" и исходящие из нее на диаграмме процесса, повторяются на диаграмме подпроцесса в виде стрелок: "Стрелка 1" и "Стрелка 2".
![]() | ![]() |
Исходные данные: Диаграмма процесса описана в нотации ЕРС. Одна из фигур диаграммы ссылается на модель декомпозированного подпроцесса, диаграмма которого также описана в нотации ЕРС.
Во время имитации движок имитации, дойдя до этой фигуры, продолжает построение экземпляра имитирующего процесса по диаграмме подпроцесса. При этом создание экземпляра имитирующего подпроцесса осуществляется только в случае, если фигура события, предшествующая фигуре подпроцесса на диаграмме процесса, и фигура стартового события диаграммы подпроцесса ссылаются на один и тот же объект справочника "События". В противном случае, во время имитации переход на диаграмму подпроцесса осуществлен не будет.
Выход с диаграммы подпроцесса осуществляется движком имитации каждый раз после возникновения экземпляра имитирующего конечного события. При этом возврат к диаграмме процесса осуществляется только в случае, если фигура события, следующая после фигуры подпроцесса на диаграмме процесса, и фигура конечного события диаграммы подпроцесса ссылаются на один и тот же объект справочника "События". В противном случае, возврат к диаграмме процесса осуществлен не будет.
На Рис.6 и Рис.7 представлен правильный способ моделирования: на диаграмме процесса изображена фигура "Шаг 1", ссылающаяся на модель декомпозированного подпроцесса. Фигуры событий, обрамляющие фигуру "Шаг 1" на диаграмме процесса, и фигуры стартового и конечного событий на диаграмме подпроцесса ссылаются на одни и те же объекты справочника "События": "Событие 1" и "Событие 2".


Исходные данные: Диаграмма процесса описана в нотации BPMN. Одна из фигур диаграммы ссылается на модель декомпозированного подпроцесса, диаграмма которого также описана в нотации BPMN.
Во время имитации движок имитации, дойдя до этой фигуры, продолжает построение экземпляра имитирующего процесса по диаграмме подпроцесса. При этом создание экземпляра имитирующего подпроцесса осуществляется всегда. Количество создаваемых экземпляров имитирующего подпроцесса равно количеству стартовых фигур диаграммы подпроцесса. Стартовыми являются фигуры событий, тип триггера которых "Неопределенное", а также фигуры процессов и шлюзов, не имеющие входящих потоков управления.
Возврат к диаграмме процесса осуществляется движком имитации каждый раз после возникновения экземпляра имитирующего конечного события или после выполнения экземпляра последней имитирующей операции, если на диаграмме подпроцесса нет фигур конечных событий.
На Рис.8 и Рис.9 представлен способ моделирования передачи управления из процесса, описанного в нотации BPMN, в подпроцесс, описанный в нотации BPMN: движок имитации, дойдя до фигуры "Шаг 1", продолжит построение экземпляра имитирующего процесса по диаграмме подпроцесса, затем вернется на диаграмму процесса и продолжит построение экземпляра имитирующего процесса по диаграмме процесса.


Возврат с диаграммы подпроцесса на диаграмму процесса может также осуществляться "по условию" (при возникновении экземпляра имитирующего события, даже если фигура этого события имеет тип "промежуточное событие"). Для моделирования такой ситуации на диаграмме процесса к фигуре подпроцесса необходимо присоединить фигуру граничного события (Рис.10), а на диаграмму подпроцесса добавить фигуру события (Рис.11), которая ссылается на тот же объект справочника "События", что и фигура граничного события на диаграмме процесса. Тогда при возникновении экземпляра этого имитирующего события во время выполнения экземпляра имитирующего подпроцесса будет осуществлен возврат к диаграмме процесса, и дальнейшее выполнение экземпляра имитирующего процесса будет продолжено по стрелке, исходящей из фигуры граничного события. При этом если фигура граничного события на диаграмме процесса имеет тип "Граничное прерывающее событие" (двойная сплошная линия), то возникновение экземпляра имитирующего события такого типа прерывает выполнение экземпляра имитирующего подпроцесса. Если же эта фигура имеет тип "Граничное непрерывающее событие" (двойная пунктирная линия), возникновение экземпляра имитирующего события не прерывает выполнение экземпляра имитирующего подпроцесса. На диаграмме подпроцесса фигура события никаким особенным способом не обозначается и может иметь тип как "Промежуточное событие", так и "Конечное событие".
Пример 1
На Рис.10 приведен пример использования фигур граничных прерывающих событий на диаграмме процесса. Две фигуры событий "Есть замечания" и "Отказ от договора" присоединены к фигуре подпроцесса "Согласовать договор" и имеют тип "Граничное прерывающее событие". На диаграмме подпроцесса (Рис.11) фигуры событий "Есть замечания" и "Отказ от договора" имеют тип "Конечное событие".


Пример 2
На диаграмме процесса "Организация отгрузки товара" (Рис.12) к фигуре подпроцесса "Дождаться оплаты" прикреплена фигура события "Прошло 25 дней", которое имеет тип "Граничное непрерывающее событие" (пунктирная граница) и при возникновении экземпляра этого имитирующего события начнет выполняться экземпляр имитирующей операции "Сообщить менеджеру", но при этом выполнение экземпляра имитирующего подпроцесса "Дождаться оплаты" не будет прервано и экземпляр имитирующей операции по передаче дел в отдел задолженности будет выполнен.


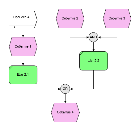
Исходные данные: Диаграмма процесса описана в одной из нотаций Basic Flowchart/Cross-functional Flowchart, ЕРС или BPMN. Одна из фигур диаграммы ссылается на модель декомпозированного подпроцесса, диаграмма которого описана в одной из нотаций Basic Flowchart/Cross-functional Flowchart, ЕРС или BPMN, но отличной от нотации диаграммы процесса.
Во время имитации движок имитации, дойдя до этой фигуры, продолжает построение экземпляра имитирующего процесса по диаграмме подпроцесса. При этом создание экземпляра имитирующего подпроцесса осуществляется всегда. Количество создаваемых экземпляров имитирующего подпроцесса равно количеству стартовых фигур диаграммы подпроцесса. Для диаграммы подпроцесса, описанной в одной из нотаций Basic Flowchart/Cross-functional Flowchart/ЕРС, стартовыми являются фигуры событий, не имеющие входящих потоков управления. Для диаграммы подпроцесса, описанной в нотации BPMN, стартовыми являются фигуры событий, тип триггера которых "Неопределенное", и фигуры процессов и шлюзов, не имеющие входящих потоков управления. Возврат к диаграмме процесса осуществляется движком имитации, когда закончит выполняться последний экземпляр имитирующей операции экземпляра имитирующего подпроцесса.
Например, если диаграмма процесса описана в нотации Basic Flowchart/Cross-functional Flowchart (Рис.14), а диаграмма подпроцесса - в нотации ЕРС (Рис.15), то во время имитации движок имитации, дойдя до фигуры "Шаг 2", продолжит построение экземпляра имитирующего процесса по диаграмме подпроцесса. При этом возникнут экземпляры имитирующих событий "Событие 2" и "Событие 3".


См. Руководство пользователя, глава Ссылка на единицу деятельности. В случае если уже существует диаграмма процесса, которая подходит для описания последовательности выполнения экземпляров операции, можно использовать эту существующую диаграмму путем создания ссылки на нее.
Пример:
На Рис.1 представлена диаграмма процесса, на которой изображена фигура "Организация итогового собрания по проекту". Аналитик решает, что необходимо декомпозировать модель операции "Организация итогового собрания по проекту" и в качестве диаграммы процесса выбрать диаграмму, которая ранее была создана для объекта "ТП2 Организация итоговых собраний" справочника "Деятельность" (Рис.16). Аналитик удаляет с диаграммы фигуру "Организация итогового собрания по проекту" и на её место помещает фигуру "Ссылка" (Рис.17). При этом система создает объект "A4.3.2.1 (ТП2) Организация итоговых собраний" в справочнике "Деятельность". Диаграмма "ТП2 Организация итоговых собраний" "становится" диаграммой процесса "A4.3.2.1 (ТП2) Организация итоговых собраний".


Исходные данные: Диаграмма процесса описана в одной из нотаций Basic Flowchart/Cross-functional Flowchart, ЕРС или BPMN. Одна из фигур диаграммы ссылается на модель декомпозированного подпроцесса и указывает, что в качестве модели декомпозиции используется типовая модель, описанная в одной из нотаций Cross-functional Flowchart/Cross-functional Flowchart, ЕРС или BPMN.
Во время имитации движок имитации, дойдя до этой фигуры, продолжает построение экземпляра имитирующего процесса по диаграмме типового процесса. При этом создание экземпляра имитирующего типового процесса осуществляется всегда. Количество создаваемых экземпляров имитирующего типового процесса равно количеству стартовых фигур диаграммы типового процесса. Для диаграммы типового процесса, описанной в одной из нотаций Basic Flowchart/Cross-functional Flowchart/ЕРС, стартовыми являются фигуры событий, не имеющие входящих потоков управления. Для диаграммы типового процесса, описанной в нотации BPMN, стартовыми являются фигуры событий, тип триггера которых "Неопределенное", и фигуры процессов и шлюзов, не имеющие входящих потоков управления.
Например, на Рис.18 представлена диаграмма процесса в нотации Cross-functional Flowchart. На диаграмме процесса изображена фигура ссылки на процесс "Шаг 1". Диаграмма типового процесса "Шаг 1", описанная в нотации EPC, представлена на Рис.19.


Возврат к диаграмме процесса осуществляется движком имитации, когда закончит выполняться последний экземпляр имитирующей операции экземпляра имитирующего типового процесса.
Исключение из правила, описанного в главе Моделирование передачи управления из процесса в типовой процесс, составляют случаи, когда диаграмма процесса и диаграмма типового процесса описаны в нотации ЕРС.
Исходные данные: Диаграмма процесса описана в нотации ЕРС. Одна из фигур диаграммы ссылается на модель декомпозированного подпроцесса и указывает, что в качестве модели декомпозиции используется типовая модель, описанная в нотации ЕРС.
Во время имитации движок имитации, дойдя до этой фигуры, продолжает построение экземпляра имитирующего процесса по диаграмме типового процесса. При этом создание экземпляра имитирующего типового процесса осуществляется только в случае, если фигура события, предшествующая фигуре подпроцесса на диаграмме процесса, и фигура стартового события диаграммы типового процесса ссылаются на один и тот же объект справочника "События". В противном случае, во время имитации переход на диаграмму типового процесса осуществлен не будет.
Выход с диаграммы типового процесса осуществляется движком имитации, когда закончит выполняться последний экземпляр имитирующей операции экземпляра имитирующего типового процесса. При этом возврат к диаграмме процесса осуществляется только в случае, если фигура события, следующая после фигуры подпроцесса на диаграмме процесса, и фигура конечного события диаграммы типового процесса ссылаются на один и тот же объект справочника "События". В противном случае, возврат к диаграмме процесса осуществлен не будет.
На Рис.20 и Рис.21 представлен правильный способ моделирования: на диаграмме процесса изображена фигура "Шаг 1", ссылающаяся на модель декомпозированного подпроцесса. Фигуры событий, обрамляющие фигуру "Шаг 1" на диаграмме процесса, и фигуры стартового и конечного событий на диаграмме типового процесса ссылаются на одни и те же объекты справочника "События": "Событие 1" и "Событие 2".

